и находящи се както следва:
.jpg)
.jpg)



в община Стара Загора:
/землище/
1. Стара Загора
2. Загоре
3. Памукчии
в обшина Опан:
/землище/
1. Опан
2. Княжевско
3. Бяло поле
4. Васил Левски
5. Столетово
в община Павел баня
/землище/
1. Гъбарево
2. Долно сахране
3. Тъжа
в община Казанлък:
/землище/
1. Розово
2. Енина
3. Овощник
4. Средногорово
5. Ръжена
6. Горно изворово
7. Шейново
в община Чирпан:
/землище/
1. Яздач
2 Средно градище
в община Братя Даскалови:
/землище/
1. Плодовитово
2. Опълченец
3. Мирово
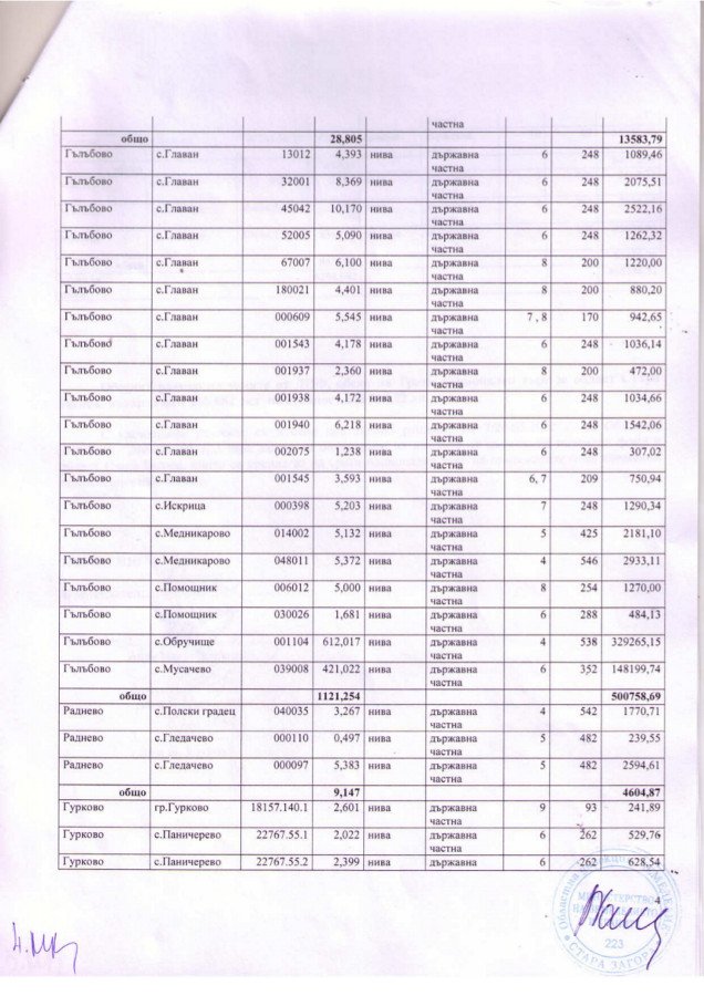
в община Гълъбово:
/землище/
1. Главан
2. Искрица
3. Медникарово
4. Помощник
5. Обручище
6. Мусачево
в община Раднево:
/землище/
1. Полски градец
2. Гледачево
в община Гурково:
/землище/
1. град Гурково
2. Паничерево
3. Конаре
в община Мъглиж:
/землище/
1. град Мъглиж
2. Ветрен


